Potential Outcomes and DiD

Data Literacy

Motivation: Difference-in-Differences

Basic Setup

  • Two groups
    • Countries
    • Companies
    • Individuals
    • etc.
  • Two periods
  • Group \(g=2\) receives treatment between period \(1\) and \(2\)
  • Group \(g=\infty\) never receives the treatment (at least in the observation period)
  • No randomization but: “Quasi-Experiment”, “Natural Experiment”
  • Goal: identification of a causal average treatment effect on the treated (ATT)
  • Core Assumption: parallel trends

Basic Setup

Code
library(dplyr)
y_j <- c(0.5, 1, 1.8)
y_j_counter <- c(0.5, 1, 1.5)
y_k <- c(0.2, 0.7, 1.2)
x <- c(1,2,3)
plot(
    x, y_k, 
    type = "l", 
    ylim = c(0, 2),
    xaxt = "n", yaxt = "n",
    ylab = "Y", xlab = "Period", 
    bty= "n"
    )
axis(side=2, labels = FALSE, at = NULL)
axis(side=1, at=c(1,3), labels=c("1",  "2"))
lines(x, y_j)
lines(x[2:3], y_j_counter[2:3], lty = 2, col = "red")
lines(c(3, 3), c(1.5, 1.8), col = "darkgreen")
abline(v = 2, lty = 4, col = "gray30")
text(
    x = 1.5, y = 0.6, 
    labels = "Parallel pre-treatment", 
    cex=1.5, srt = 17
    )
text(
    x = 2.2, y = 1.7, 
    labels = "Treatment",
    cex=1.5, col = "gray30"
    )
text(
    x = 2.5, y = 1.3, 
    labels = "Counterfactual",
    col = "red", srt = 17
    )
text(
    x = 2.9, y = 1.6,
    labels = "+Effect",
    col = "darkgreen"
    )
grid()

Treatment effect

  • \(Y_{i,t}\) … outcome of unit \(i\) at time \(t\)

Potential outcomes (Rubin 2005)

  • \(Y_{i,t}(0)\)\(Y_{i,t}\) given \(i\) is not treated at \(t\)
  • \(Y_{i,t}(1)\)\(Y_{i,t}\) give \(i\) is treated at \(t\)
  • Observed: \(Y_{i,t} = \mathbb{1}(treated_{i,t}) Y_{i,t}(1) + \left[1 - \mathbb{1}(treated_{i,t})\right] Y_{i,t}(0)\)
  • Individual treatment effect: \(\tau_{i,t} = Y_{i,t}(1) - Y_{i,t}(0)\)

Treatment effect

  • \(Y_{i,t}\) … outcome of unit \(i\) at time \(t\)

Potential outcomes (Rubin 2005)

  • \(Y_{i,t}(0)\)\(Y_{i,t}\) given \(i\) is not treated at \(t\)
  • \(Y_{i,t}(1)\)\(Y_{i,t}\) give \(i\) is treated at \(t\)
  • Observed: \(Y_{i,t} = \mathbb{1}(treated_{i,t}) Y_{i,t}(1) + \left[1 - \mathbb{1}(treated_{i,t})\right] Y_{i,t}(0)\)
  • Individual treatment effect: \(\tau_{i,t} = Y_{i,t}(1) - Y_{i,t}(0)\)
Group t = 1 t = 2
\(g = 2\) \(Y_{i,1}(0)\) \(Y_{i, 2}(1)\)
\(g = \infty\) \(Y_{j,1}(0)\) \(Y_{j, 2}(0)\)

Average Treatment Effect on the Treated (\(\tau_{g=2}\))

  • \(\bar Y_{g=k, t}\)… average outcome of group \(k\) at time \(t\)
  • \(\delta_{g=\cdot}\)… trend of the outcome for \(g = \cdot\)
  • \(\delta_{g=\cdot} = \delta\) for \(g = 2\) and \(g = \infty\) under parallel trends

\[ \begin{aligned} \bar Y_{g=2, 2} - \bar Y_{g=2, 1} &= \delta_{g=2} + \tau_{g=2} \\ \bar Y_{g=2, 2} - \bar Y_{g=2, 1} &= \bar Y_{g=\infty, 2} - \bar Y_{g=\infty, 1} + \tau_{g=2} \\ \left[\bar Y_{g=2, 2} - \bar Y_{g=2, 1}\right] - \left[\bar Y_{g=\infty, 2} - \bar Y_{g=\infty, 1}\right] &= \tau_{g=2} \end{aligned} \]

Introductory example

Code
set.seed(1)
n_obs <- 1000
units <- rep(1:(n_obs/2), each = 2)
unit_fe <- runif(n_obs/2, 0, 20)
period <- rep(c(0,1), n_obs/2)
period_fe <- rep(c(20, 10), n_obs/2)
treatment <- rbinom(n_obs/2, 1, 0.5)
y <- 5 * treatment[units] * period + # tau = 5
    period_fe + # time fixed effect
    unit_fe[units] - # unit fixed effect
    15 * treatment[units] + # constant diff treated/untreated
    rnorm(n_obs)
data <- data.frame(
    y = y, 
    treated = treatment[units], 
    period = period, 
    unit = as.factor(units))
y_j <- aggregate(y ~ period, data[data$treated == 1, ], mean)$y
y_k <- aggregate(y ~ period, data[data$treated == 0, ], mean)$y
delta_y_k <- diff(y_k)
y_k <- c(
    y_k[1],
    y_k[1] + delta_y_k/2,
    y_k[1] + delta_y_k)
y_j <- c(
    y_j[1],
    y_j[1] + delta_y_k/2, # assumed
    y_j[2])
y_j_counter <- c(
    y_j[1], 
    y_j[1] + delta_y_k/2,
    y_j[1] + delta_y_k) # assumed
boxplot(
    y ~ 
    factor(
        period, levels = c(0,1),
        labels = c("t: 1","t: 2")
        ) +
    factor(
        treated, levels = c(0,1), 
        labels = c("D", "A")
        ), 
    xlab = "", ylab = "Y",
    frame.plot = F,
    col = "white", sep = " in ",
    main = "Household income",
    data)

Introductory example

Code
plot(
    x, y_k, 
    type = "l", 
    ylim = c(0, 35),
    xaxt = "n", #yaxt = "n",
    ylab = "Avg. availabe household income", xlab = "Period", 
    bty= "n"
    )
axis(side=1, at=c(1,3), labels=c("1",  "2"))
lines(x, y_j)
lines(x[2:3], y_j_counter[2:3], lty = 2, col = "red")
lines(c(3, 3), c(y_j[3], y_j_counter[3]), col = "darkgreen")
abline(v = 2, lty = 4, col = "gray30")
text(x = 1.1, y = 31, labels = "D", cex=1.5)
text(x = 1.1, y = 16, labels = "A", cex=1.5)
text(
    x = 1.5, y = 20, 
    labels = "Parallel pre-treatment", 
    cex=1.5, srt = -10
    )
text(
    x = 2.25, y = 28, 
    labels = "\"Klimabonus\"",
    cex=1.5, col = "gray30"
    )
text(
    x = 2.5, y = 6.8, 
    labels = "Counterfactual",
    col = "red", srt = -10
    )
text(
    x = 2.90, y = 7.8,
    labels = "+Effect",
    col = "darkgreen"
    )
grid()

Canonical estimation

Two-Way Fixed Effects

\[ \begin{aligned} y_{i, t} &= \tau_{did}\ \mathbb{1}(\text{treated}_{i, t}) + \gamma_t + \alpha_i + \epsilon_{i,t} \\ \mathbb{1}(\text{treated}_{i,t}) &\equiv \mathbb{1}(i \in \text{A}) \times \mathbb{1}(t = 2) \end{aligned} \]

“Dummy” Model

\[ y_{i, t} = \tau_{did} \mathbb{1}(\text{treated}_{i,t}) + \beta_1 \mathbb{1}(i \in \text{A}) + \beta_2 \mathbb{1}(t = 2) + \alpha + \varepsilon_{i,t} \]

Typically \(\sigma_{\epsilon_{i,t}} < \sigma_{\varepsilon_{i,t}}\)

Estimation in R

Code
library(fixest)
library(pander)

etable(list(
    `TWFE` = feols(y ~ treated:period | unit + period, data),
    `Dummy` = feols(y ~ treated * period, data)),
    postprocess.df = pandoc.table.return,
    style = "rmarkdown")
  TWFE Dummy
Dependent Var.: y y
treated x period 5.064*** (0.1266) 5.064*** (0.7296)
Constant 29.67*** (0.3648)
treated -14.56*** (0.5159)
period -10.03*** (0.5159)
Fixed-Effects: —————– ——————
unit Yes No
period Yes No
________________ _________________ __________________
S.E. type by: unit IID
Observations 1,000 1,000
R2 0.99413 0.61016
Within R2 0.76267

Extension to Multiple Time Periods

Code
did_data_staggered <- data.table::fread("https://raw.githubusercontent.com/WU-RDS/RMA2022/main/data/did_data_staggered.csv")
did_data_staggered$song_id <- as.character(did_data_staggered$song_id)
did_data_staggered$week <- as.Date(did_data_staggered$week)
did_data_staggered$week_num <- as.numeric(
    factor(
        did_data_staggered$week, 
        levels = sort(unique(did_data_staggered$week)), 
        labels = 1:length(unique(did_data_staggered$week))))
# data preparation
treated_ids <- unique(did_data_staggered[did_data_staggered$treated == 1, ]$song_id)
untreated_ids <- unique(did_data_staggered[did_data_staggered$treated == 0, ]$song_id)

library(panelView)
# inspect data
panelview(
    streams ~ treated_post, 
    data = did_data_staggered[
        did_data_staggered$song_id %in% c(
            sample(treated_ids,5), 
            sample(untreated_ids, 3)
            ) &
        did_data_staggered$week_num > 10 & 
        did_data_staggered$week_num <= 30
    , ], 
    index = c("song_id", "week"), 
    ylab = "group",
    pre.post = TRUE,
    by.timing = TRUE,
    theme.bw = TRUE,
    axis.adjust = TRUE) 

Two-Way Fixed Effects?

\[ y_{i, t} = \tau_{did}\ \mathbb{1}(\text{treated}_{i, t}) + \gamma_t + \alpha_i + \epsilon_{i,t} \]

  • Ok IF \[ \tau_{g, t} = \tau \text{ for all }g \text{ and } t \]

  • Otherwise: estimate separate \(\tau_{g, t}\) for all \(g\) and \(t\) using only not (yet) treated units as controls

Intuition

Goodman-Bacon (2021)

Existing Extensions

  • Existing methods for multiple time periods (e.g., Callaway and Sant’Anna 2021) work well if the number of treated units in each group \(g\) is “large” (>5)
  • Focus on selecting “control group” correctly
  • Result: Group Time Average Treatment Effect \(\tau_{g,t}\)

Implementation in R (Callaway and Sant’Anna 2021)

Code
did_data_staggered$log_streams <- log(did_data_staggered$streams+1)
# add first period treated
did_data_staggered_G <- did_data_staggered |>
  filter(treated == 1, week == treat_week) |>
  select(song_id, G = week_num)
did_data_staggered <- left_join(did_data_staggered,
                                did_data_staggered_G,
                                by = "song_id")
did_data_staggered$G <- coalesce(did_data_staggered$G, 0)
did_data_staggered$id <- as.numeric(did_data_staggered$song_id)

set.seed(123)
#increase bootstrap for reliability!
library(did)
mod.csa <- att_gt(yname = "log_streams",
       tname = "week_num",
       idname = "id",
       gname = "G",
       biters = 2000,
       data = did_data_staggered
)
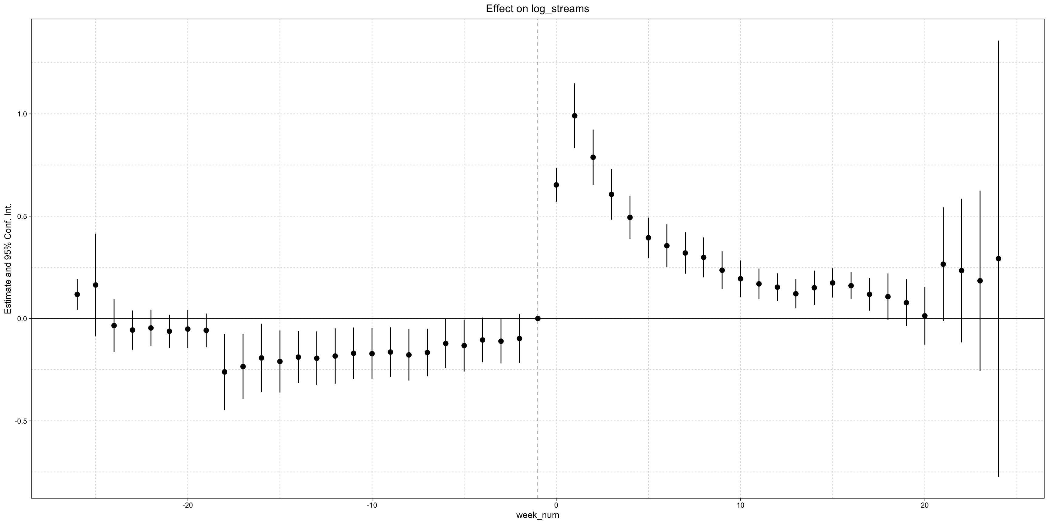
ggdid(aggte(mod.csa, type = 'dynamic'))

Implementation in R (Callaway and Sant’Anna 2021)

Code
ggdid(mod.csa, group = 17)

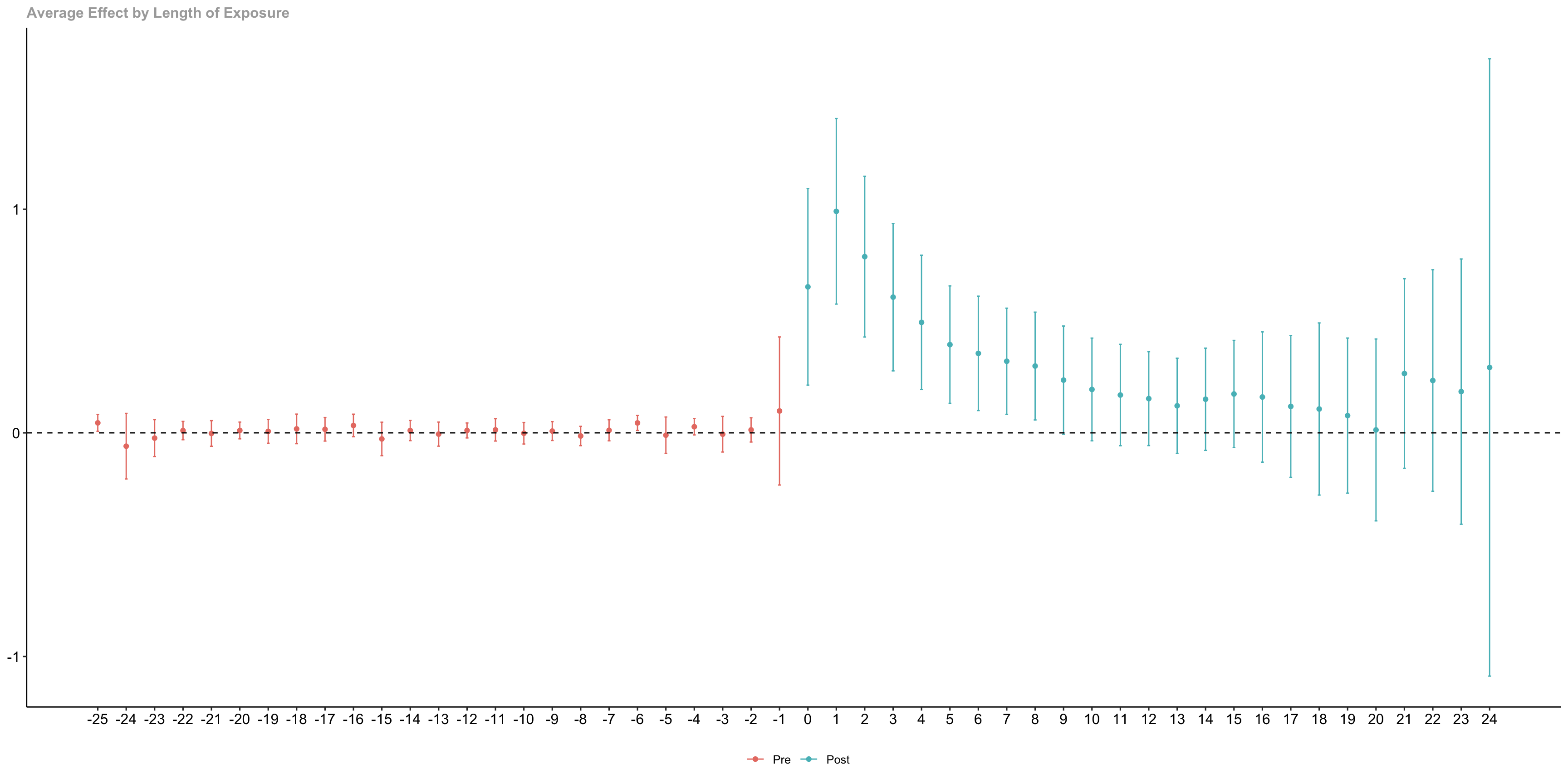
Implementation in R (Sun and Abraham 2021)

Code
library(ggiplot)
mod.sunab <- feols(log_streams ~ sunab(G, week_num) | id + week_num, data = did_data_staggered )
ggiplot(mod.sunab)

References

Callaway, Brantly, and Pedro H. C. Sant’Anna. 2021. “Difference-in-Differences with Multiple Time Periods.” Journal of Econometrics, Themed issue: Treatment effect 1, 225 (2): 200–230. https://doi.org/10.1016/j.jeconom.2020.12.001.
Goodman-Bacon, Andrew. 2021. “Difference-in-Differences with Variation in Treatment Timing.” Journal of Econometrics, Themed issue: Treatment effect 1, 225 (2): 254–77. https://doi.org/10.1016/j.jeconom.2021.03.014.
Rubin, Donald B. 2005. “Causal Inference Using Potential Outcomes: Design, Modeling, Decisions.” Journal of the American Statistical Association 100 (469): 322–31. https://www.jstor.org/stable/27590541.
Sun, Liyang, and Sarah Abraham. 2021. “Estimating Dynamic Treatment Effects in Event Studies with Heterogeneous Treatment Effects.” Journal of Econometrics, Themed issue: Treatment effect 1, 225 (2): 175–99. https://doi.org/10.1016/j.jeconom.2020.09.006.